Maxwell Garnett

Navigation:  The optical model > Defining Materials > Material types > Effective dielectric functions >

Maxwell Garnett

Previous pageReturn to chapter overviewNext page

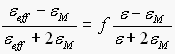
The Maxwell Garnett formula [Maxwell Garnett 1903] is the following:

 

clip0044

                   

It is applicable to systems of low volume fractions of the embedded particles which must also be far away from each other.