M.Theiss - Hard- and Software for Optical Spectroscopy
Home Products Applications Support News

Amorphous materials

OJL interband transition model for amorphous materials - a brief tutorial

Optical transitions in amorphous materials

The following sketch of the density of electronic states shows the types of optical transitions that are going to be discussed below:

Extended to extended states

The transitions from extended to extended states are very similar to the ones known from crystalline materials. As can be seen from the sketch they determine the absorption of light at high energies (above the gap energy) or short wavelength. In the case of parabolic bands (without tail states) the shape of the density of states is the following:

This leads to an absorption coefficient of the form

Hence a plot of

versus energy should lead to a straight line whose intersection with the y-axis gives the gap energy E0, the so-called 'Tauc gap'. The Tauc gap is quite often used to characterize the optical properties of amorphous materials. From the considerations given above it is clear that the Tauc gap gives information on the energy separation of the extended states of valence and conduction bands.

Extended to localized and localized to extended state transitions

Below the gap where in ideal crystalline materials no absorption is observed in amorphous materials transitions from occupied extended states of the valence band to empty tail states of the conduction band may occur. In a similar way transitions from occupied valence band tail states to the empty extended states of the conduction band are possible. Both types of transitions should have similar matrix elements.

For the transitions from localized to extended states (and for extended to localized ones) with an exponential decay of the density of states of the localized states into the gap one finds an exponential relation between absorption coefficient and frequency:

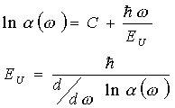
where EU is called 'Urbach energy'. Since

one can determine the Urbach energy by plotting the logarithm of the absorption coefficient and taking the inverse of the slope of the linear part of the graph.

Localized to localized states transitions

These transitions usually are not very important since the number of states involved is low and the transition matrix elements are significantly smaller compared to those of the transitions mentioned above. This is due to the fact that the matrix elements are integrals over all space over the product of two functions (the initial and the derivative of the final state) which are separated in space and hence do exhibit almost no overlap. Transitions from localized to localized states would lead to absorption in the low energy regions of the spectrum which in most cases is the near to mid infrared region.

Remarks on the determination of absorption coefficients

The graphical constructions leading to the Tauc gap and the Urbach energy are based on the assumption that the absorption coefficient is determined in optical experiments. This is not the case: What is measured is the reflectance and the transmittance of a sample. The conversion from measured reflectance and transmittance data to absorption coefficients is not as easy as commonly believed. In fact, in the case of thin films with multiple reflection and multiple interference effects the absorption coefficient cannot be extracted from measured spectra directly. Hence it is not a good quantitiy to serve as 'interface' between experiment and theory. In almost all cases a modelling approach is the best choice.

A dielectric function model with built-in density-of-states-parameters would be ideal. The OJL approach discussed below provides just what is needed: The gap energy characterizing the extended states and the exponents of the tail state distributions appear as direct parameters in the OJL dielectric function model.

Next page of this tutorial


Responsible for this page: webmaster@mtheiss.com